ペッツバールアストログラフ「SQA55 鏡筒」と「カラーマジックCフィルターセット48mm」が新発売
【2024年9月16日 星ナビ編集部】
サイトロンジャパンが、Jiaxing Ruixing Optical Instrument社の天体望遠鏡ブランド「Askar」の新製品「SQA55」鏡筒と「カラーマジック C フィルターセット 48mm」を9月17日に発売する。

SQA55とカラーマジックCフィルターセット48mm(提供:株式会社サイトロンジャパン、以下同)
- ■ 発売概要
-
- ブランド名:Askar
- 商品名:SQA55 鏡筒
- 希望小売価格:オープン価格
- 予想市場価格:税込164,000円前後(※サイトロンジャパンによる予想価格であり、実売価格とは異なる)
- 直営店「シュミット」価格:
- 通常販売価格:163,900円(税込)
- 発売日:9月17日(火)
- ■ 発売概要
-
- ブランド名:Askar
- 商品名:「カラーマジック C フィルターセット 48mm」
- 希望小売価格:オープン価格
- 予想市場価格:税込40,000円前後(※サイトロンジャパンによる予想価格であり、実売価格とは異なる)
- 直営店「シュミット」価格:39,600円(税込)
- 発売日:9月17日(火)
SQA55 鏡筒
■製品特長
- レンズ構成5群5枚のペッツバールタイプアストログラフ
-
- 対物レンズ口径55mm、焦点距離264mm、F4.8
- ペッツバールデザインで新設計された5群5枚のレンズのうち1枚にSDレンズ、EDレンズも1枚使用

- 色収差や球面収差、像面湾曲などの収差を徹底的に排除したフラットフィールドを実現
-
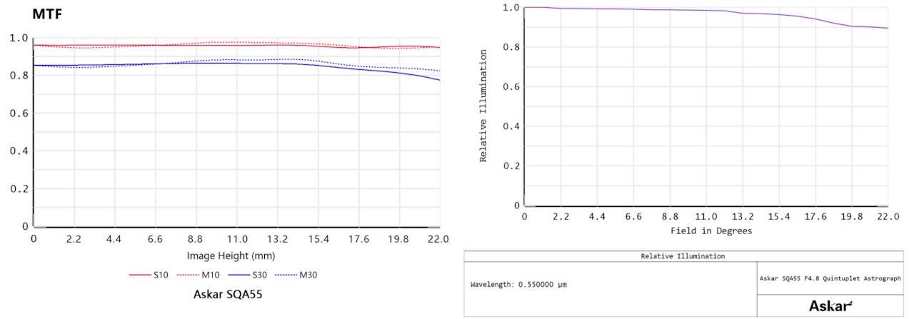
- 中心スポット半径は約2.2μm、さらにフルサイズ最周辺でも半径約3.7μm の鋭像を結ぶ設計
- 周辺部と中心部で星の大きさや収差にほとんど差がないため、モザイク撮影に最適
- レンズの性能を示すMTFは10本/mm、30本/mmも中心から周辺まで均一かつ高水準で、高い解像度とコントラストを示す
- 周辺光量はフルサイズ最周辺でも90%を確保
- 14枚羽根の円形絞りを搭載し、絞った状態でも星像への影響を小さくしている

- 便利なクイックリリースシステムを採用
-
- 鏡筒の接眼部側の円周4箇所に簡単に付け外しできるクイックリリースシステムのレールを装備
- 鏡筒バンド、三脚座を好きな位置に固定できるほか、社外製の電動フォーカサーを取り付けるAFキット(近日発売予定)を使用することで鏡筒の機能を拡張することができる
- 鏡筒ハンドルや三脚座をすべて取り外すと、望遠レンズのように手持ちで使用することもできる

- ユニークな機能
-
- ダブルローテーター(回転装置)を採用し、鏡筒とカメラの回転角をそれぞれ自由に変えることができる
- デュアルスピードヘリコイドを採用し、微動と粗動を別のリングで操作できる
- 対物レンズ前面には67mmのフィルターネジが切ってあり、市販のカメラ用67mmフィルターを取り付けることができる。また、鏡筒後端のM48アダプター内部にはM48フィルターの取り付けが可能なため、多彩なフィルターワークを楽しめる
- 鏡筒ハンドルはファインダー台座と一体型で、ガイドスコープをはじめとしたさまざまなオプション機器の接続に対応
- フードは取り外して逆付け収納が可能。収納時の全長は244mm
- 質量は約2.18kgと軽量で、小型の赤道儀でも搭載可能
- ■主な仕様
-
- 口径:55mm
- 焦点距離:264mm
- 光学系:5群5枚(うち SD レンズ1枚、ED レンズ1枚使用)
- 口径比:f/4.8
- 絞り:f/4.8~f/22
- 最短合焦距離 :5m
- 全長:約244mm(フード収納時)/ 約316mm(フード装着時)
- フード外径:φ92mm
- フィルター径:67mm(対物レンズ先端)、48mm(M48 アダプター内部)
- バックフォーカス:55mm±5mm(※できるだけ 55mm に合わせて使用することで最大の性能を発揮する。
- 質量 :約 2.18kg(バンド・プレート込み)
- 付属品 :ミリタリーグレード防水ハードケース
カラーマジックCフィルターセット 48mm
■製品特長
- カラーカメラで3輝線分解合成ができる
-
- デュアルナローバンドフィルター「C1」「C2」の48mm2枚セット
- C1フィルターは HαとOIIIの輝線を透過し、C2フィルターはSIIとOIIIの輝線を透過する
- カラーカメラと2種類のフィルターを用いて、同じ対象を撮影した画像を、画像処理ソフトでRGBチャンネルに分解することで、OIII、Hα、SIIの輝線像をそれぞれ得ることができる
- モノクロカメラとナローバンドフィルターを用いなくても、カラーカメラと本製品のみでS(SII)+A(Hα)+O(OIII)合成を行うことができる、画期的なフィルター
- 既に販売されている「D1+D2」フィルターよりも半値幅が広く、より短時間の撮影でも十分なS/Nが得られ、はじめてカラーカメラでSAO合成に挑戦する方にもお薦めできるが、その反面、都市部での光害カット効果は弱い。観測地や撮影スタイルで「D1+D2」と「C1+C2」を使い分けるのもおもしろい。

- ■主な仕様
-
- 透過波長:C1:OIII+Hα C2:OIII+SII
- ネジ:M48×P0.75mm
- フィルター厚み:2.0mm
- 透過幅:(C1)OIII:35nm±5nm/Ha:15nm±3nm/(C2)OIII:35nm±5nm/SII:15nm±3nm
関連記事
- 2026/02/03 サイトロンジャパンが日本製フラッグシップ天体望遠鏡を発売
- 2026/01/23 軽量設計と高精度オートフォーカスの大口径望遠レンズ「LAOWA 200mm F2 AF FF」発売
- 2026/01/22 笠井トレーディングからマクストフカセグレン鏡筒2種が登場
- 2026/01/22 サイトロンジャパンが天体望遠鏡ブランド「NAKOH」の取り扱いを開始
- 2026/01/11 世界150台限定の特別モデルのスマート望遠鏡「Vespera II-X Edition」発売
- 2025/12/25 星ナビ2月号は「デジカメのピント合わせ」と「スーパーカミオカンデ&KAGRAに潜入」
- 2025/12/16 Sky-Watcherのバローレンズ「ノマド」2種とアイピース「エメラルド」新発売
- 2025/12/10 4枚玉EDフラットフィールド屈折、Askar「60F鏡筒」と「91F鏡筒」新発売
- 2025/11/27 サイトロンジャパンとビクセン、アストロアーツから2026年天文カレンダー発売
- 2025/11/25 Sky-Watcherの口径100mm高性能Hα太陽望遠鏡「ヘリオスター100Hα」新発売
- 2025/11/13 11月16日トークショー「2026年の天文現象」開催、23日まで「サイトロンジャパン天体写真コンテスト2025」受賞作品展
- 2025/11/08 サイトロンジャパン新商品「レデューサー0.5×アメリカンサイズ」
- 2025/10/25 星空撮影で結露を防ぐヒーター付きフィルター「ケンコーAnti-Fog スターリーナイト」など3種が新発売
- 2025/10/22 11月16日~23日「サイトロンジャパン天体写真コンテスト2025」受賞作品展
- 2025/10/22 見掛視界70°超の広視界双眼鏡「SIGHTRON SV842 / 1042 ED SWA」新発売
- 2025/09/23 複数メーカー対応のスマート天体撮影コントローラー「StellaVita」発売
- 2025/08/29 天体導入・追尾機能搭載マウント+三脚のセット Sky-Watcher「フュージョン 120i シリーズ」発売
- 2025/08/22 フルフレームミラーレス用「LAOWA 12mm F2.8 Lite Zero-D FF」受注開始
- 2025/08/09 眼視と撮影の両方で活躍するAskar「80ED 鏡筒」とアクセサリー3種が新発売
- 2025/08/01 星ナビ9月号は「Askar屈折望遠鏡のすべて」と「未明の皆既月食」











![[アストロアーツ かけはしプロジェクト:つなげよう日本 子供達の未来を守るために]](https://www.astroarts.co.jp/official/kakehashi/image/kakehashi_s.jpg)