ケレスに衝突した隕石の大きさと数の謎
【2022年3月17日 JAXA宇宙科学研究所】
水星や月の表面にはたくさんの衝突クレーターが残っている。金星・地球・火星にも過去には多くの衝突クレーターが存在したはずだが、風化や浸食、地殻変動などの影響で今ではあまり残っていない。
これらのクレーターを形成した隕石は、火星と木星の軌道の間にある「小惑星帯(メインベルト)」から主にやってきたと考えられている。その根拠はクレーターのサイズと個数の分布だ。
天体にどのくらいの大きさの隕石が衝突するとどのくらいのクレーターができるか、という関係について一定の仮定をおけば、天体に残されているクレーターのサイズと個数(頻度)の分布から、ぶつかった隕石の直径と頻度の分布を推定することができる。月や地球型惑星に衝突した隕石のサイズ分布をこの方法で推定してみると、直径1km以上の隕石に関しては、実際に望遠鏡観測で見つかっているメインベルト天体のサイズ分布によく似ていることがわかっている。このことから、月や地球型惑星に衝突した隕石の多くはメインベルト由来だとされているのだ。
だが、直径が1kmより小さい隕石に関しては、クレーターの計数から推定した隕石のサイズ分布がメインベルト天体の観測と一致しないという説もある。また、メインベルトの内部で天体衝突がどのように起こり、そこで弾き飛ばされた小天体が太陽系の内側までどう移動してくるのかという歴史についても、あまりわかっていない。
総合研究大学院大学/JAXA宇宙科学研究所の豊川広晴さんたちの研究チームは、メインベルト最大の天体である準惑星ケレス(直径約1000km)をNASAの探査機「ドーン」が撮影した高解像度画像を使い、ケレスの表面にある直径1km以上のクレーター(約25万個)を計数した。

ケレスのクレーターの一つ「ハモリ」(中央左下の大きいクレーター)。名前は樹木の葉を守るとされる日本の神「葉守」に由来する。直径約60km(提供:NASA/JPL-Caltech/UCLA/MPS/DLR/IDA)
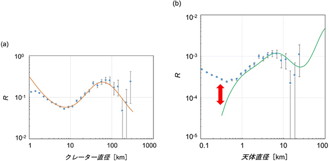
その結果、ケレスのクレーターのサイズ分布は月のデータから推定したクレーター生成のモデルとつじつまがよく合っていて、ケレスに衝突した隕石のサイズ分布は月の場合とほぼ同じと考えられることがわかった。ケレスには約2億年前から約20億年前まで様々な年代に形成された領域があるが、どの領域でもクレーターのサイズ分布は月とほぼ一致していた。
ところが、こうして得られたケレスのクレーターのサイズ分布から、ぶつかった隕石のサイズ分布を求めてみると、直径が1kmより小さい隕石のサイズ分布が、メインベルトで見つかっている小天体のサイズ分布とはやはり異なっていることがはっきりした。クレーターからの推定では、サイズが小さい隕石ほどたくさんケレスに衝突しているはずだが、メインベルトで実際に発見されている小天体は小さいものほど個数が少ないのだ。

(a)ケレスの表面全体に存在するクレーターのサイズと頻度の分布。(青い点)クレーターのサイズ-頻度分布、(オレンジ色の曲線)月から類推したクレーターの生成モデル。(b)ケレスに衝突した隕石と、実際に観測されているメインベルト天体のサイズ-頻度分布の比較。(青い点)今回推定したケレスでの隕石のサイズ-頻度分布、(緑色の曲線)地上望遠鏡で観測されているメインベルト天体のサイズ-頻度分布(提供:JAXA宇宙科学研究所リリース)
この食い違いの原因は今のところまだわからないが、今回の成果はメインベルト内で小天体がどのように衝突し、どうやって太陽系の内側にやってくるかという問題に新たな制約を与える重要な結果だと、豊川さんたちは考えている。
〈参照〉
- JAXA宇宙科学研究所 研究情報ポータル あいさすGATE:準惑星ケレスに衝突した隕石のサイズ分布の「月との一致」と「望遠鏡観測との不一致」
- Icarus:Kilometer-scale crater size-frequency distributions on Ceres 論文
〈関連リンク〉
関連記事
- 2026/04/17 南会津に隕石落下?捜索隊に加わって発見しよう
- 2025/10/01 2025年10月8日 ケレスがくじら座で衝
- 2025/09/02 原始太陽系に降りそそいだ、“溶けた岩石の雨粒”
- 2025/06/06 月・火星・隕石…大阪万博天文的見どころ(1):アメリカ・中国・日本・スイス編
- 2024/09/20 4億6600万年前、地球には環があったかもしれない
- 2024/06/28 2024年7月7日 ケレスがいて座で衝
- 2023/12/15 リュウグウの岩石試料が始原的な隕石より黒いわけ
- 2023/04/03 木星と土星の共鳴が鍵、地球型惑星と小惑星帯形成の統一シナリオ
- 2023/03/17 2023年3月27日 ケレスがかみのけ座で衝
- 2023/02/27 リュウグウの始原的物質は太陽系で最初期にできたものかも
- 2023/02/20 南極隕石が明らかにした月の火山活動の変化
- 2023/01/18 隕石の有機物が物語る過去の火星環境
- 2022/12/14 隕石のアミノ酸はガンマ線で作られた可能性
- 2022/11/04 火星で観測史上最大の天体衝突
- 2022/10/31 月面クレーターの斜面は小天体衝突で変化し続ける
- 2022/10/28 2022年11月上旬 ケレスとしし座のトリオ銀河が大接近
- 2022/10/25 リュウグウ粒子からガス成分を検出
- 2022/04/21 衝突の記憶を刻む小惑星由来の隕石
- 2022/03/18 ドローンとAIで隕石を発見
- 2022/01/31 アンモニア含有鉱物が示す小惑星の大移動









![[アストロアーツ かけはしプロジェクト:つなげよう日本 子供達の未来を守るために]](https://www.astroarts.co.jp/official/kakehashi/image/kakehashi_s.jpg)