中性子星とブラックホールの合体に伴う重力波を初観測
【2021年7月5日 KAGRA 大型低温重力波望遠鏡/LIGO Scientific Collaboration/ノースウェスタン大学/Virgo】
2015年9月に重力波検出器が初めてとらえた宇宙からの信号は、ブラックホール同士の合体に伴う重力波だった。また、2017年8月には中性子同士の合体に伴う重力波が観測された。それ以来、こうした超高密度天体同士の合体で放出された重力波は続々ととらえられている。大半がブラックホール同士の合体による重力波で、中性子星同士の合体による重力波も数件見つかっているが、ブラックホールと中性子星が合体したと判断できるイベントはこれまでなかった。

中性子星とブラックホールの合体のイメージイラスト(提供:Carl Knox, OzGrav - Swinburne University)
そんな前例のないイベントが、わずか10日の間に2度とらえられた。最初は2020年1月5日に、米国にある双子の重力波検出器「Advanced LIGO」の一方とイタリアにある「Advanced Virgo」が観測したもので、この重力波イベント「GW200105」は太陽質量の8.9倍の天体と1.9倍の天体の合体によるものだと計算された。次いで2020年1月15日に両方の「Advanced LIGO」と「Advanced Virgo」を合わせた3基で「GW200115」が観測され、合体した天体は太陽質量の5.7倍および1.5倍と算出されている。
どちらの現象も、重い方の天体(太陽質量の8.9倍と5.7倍)は観測と理論の両面からブラックホールと判断できる。また、軽い方の天体(太陽質量の1.9倍と1.5倍)は既知のどのブラックホールよりはるかに軽く、中性子星と考えるのが整合的だった。2つの天体が合体したということは、両者は直前まで、近接した連星系だったことを意味する。ブラックホールと中性子星の連星が存在することは数十年前から予測されていたが、今回の観測で初めて説得力のある証拠が得られた。

これまでに観測された重力波源となった中性子星とブラックホールの質量一覧(縦軸の単位は太陽質量)。青で描かれているのがLIGO/Virgoの重力波観測で質量が求められたブラックホール。中央の2つが今回の「GW200105」と「GW200115」。紫は光や電波などの電磁波観測で質量が決まったブラックホールで、黄色は同じく電磁波観測で質量が決まった中性子星、オレンジ色はLIGO/Virgoの重力波観測で質量が決まった中性子星を表す(提供:LIGO-Virgo & Frank Elavsky, Aaron Geller, Northwestern University)
重力波からは、ブラックホールと中性子星の連星が形成された経緯までも読み取ることができた。
ブラックホールも中性子星も大質量の恒星が寿命を迎え超新星爆発を起こした後に残される天体だが、合体前の2つの天体は恒星だったときからお互いの周りを回っていた可能性がある。その場合、ブラックホールの自転方向がその周りを回る中性子星の公転方向と一致する傾向がある。GW200105では判別ができなかったが、GW200115では2つの回転が反対向きである可能性が高く、そうであれば元々恒星だった2つの天体は別々に生まれ、離れた所で超新星爆発を起こしてから出会ったというシナリオが考えられる。これは、GW200115の発生源が球状星団のように星の密度が高い環境で生まれたことを示唆するものだ。

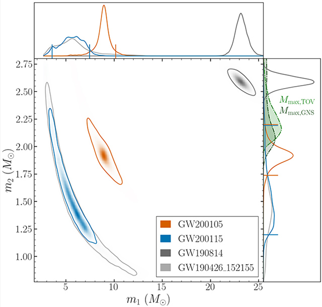
GW200105とGW200115を引き起こした天体の質量。横軸は重い方の天体(ブラックホール)の質量、縦軸は軽い方の天体(中性子星)の質量を表す。色の濃淡はデータと矛盾しない質量の組み合わせを示す。最初のイベントはオレンジ色、2番目のイベントは青で表示。陰影が濃いほど一致度が高く、そのような質量の組み合わせの確率が高いことを示す。(上のパネル)青い曲線は、GW200115のブラックホールの質量が太陽質量3.5倍と7.5倍の間のどこかにあることを示す。(右側のパネル)オレンジ色の曲線は、GW200105の中性子星の質量が太陽質量の1.75倍から2.2倍であることを示す。右側のパネルの緑の陰影は、中性子星がどれだけ重いかについて現在の天文学的知識を要約したもので、中性子星になるのに十分小さい質量であることを示す。「GW190814」と「GW190426_152155」は以前に観測された重力波イベント(提供:R. Abbott et al. 2021)
今回観測された2つの重力波イベントから見積もったところによると、私たちから10億光年の範囲で起こるブラックホールと中性子星の合体は年間5~15回だという。この数字は、元から連星だったペアによる合体でも超新星後に出会ってからの合体でも説明できるので、この発生率だけで連星の形成シナリオを特定することはできない。
中性子星とブラックホールの合体を描いた動画「Neutron star-black hole merger」(提供:Carl Knox, OzGrav - Swinburne University)
〈参照〉
- KAGRA 大型低温重力波望遠鏡:LIGOとVirgoが中性子星とブラックホールの連星からの重力波を観測
- LIGO Scientific Collaboration:A NEW SOURCE OF GRAVITATIONAL WAVES: NEUTRON STAR - BLACK HOLE BINARIES
- Northwestern University:Astrophysicists detect first black hole-neutron star mergers
- Virgo:First observations of ‘mixed’ black hole and neutron star pairs
- The Astrophysical Journal Letters:Observation of Gravitational Waves from Two Neutron Star - Black Hole Coalescences 論文
〈関連リンク〉
関連記事
- 2026/01/13 ブラックホールを生み出す超新星爆発の現場をとらえた
- 2025/11/19 ブラックホール「はくちょう座X-1」のプラズマの形がわかった
- 2025/11/10 中性子星が飲み込むガスと回転スピードの間に見つかった未知の関係性
- 2025/10/21 M84銀河中心から噴き出すジェットは早い段階で細さを失う
- 2025/09/03 重力波イベントの最新カタログ「GWTC」第4版がリリース
- 2025/08/14 ブラックホールX線連星のスペクトル変化をXRISMで観測
- 2025/07/24 最も重いブラックホール合体による重力波の記録を更新
- 2025/07/03 中性子星表面の核融合による特大爆発「スーパーバースト」
- 2025/06/03 超小型衛星「ニンジャサット」、史上6例目の珍しい中性子星を観測
- 2025/05/14 宇宙誕生期を過ぎても大質量ブラックホールは誕生可能
- 2025/04/25 恒星ブラックホールが生み出す“加速器”現象をXRISMがとらえた
- 2025/04/16 ブラックホールからのジェット噴出の条件を解明
- 2024/09/30 ブラックホールの自転による超高光度円盤の歳差運動を世界で初めて実証
- 2024/09/05 ブラックホール周囲の降着円盤の乱流構造を超高解像度シミュレーションで解明
- 2024/08/02 X線偏光でとらえたブラックホール近傍の秒スケール変動
- 2024/04/22 最も重い恒星質量ブラックホールを発見
- 2024/02/26 中性子星合体によるショートガンマ線バーストの駆動機構を解明
- 2024/02/21 高速電波バーストの謎に迫るマグネターの双子グリッチ
- 2023/12/04 X線突発天体監視速報衛星「こよう」、打ち上げ成功
- 2023/10/17 中性子星で起こる、地球の地震とそっくりの余震









![[アストロアーツ かけはしプロジェクト:つなげよう日本 子供達の未来を守るために]](https://www.astroarts.co.jp/official/kakehashi/image/kakehashi_s.jpg)